Gem Aromatics is an established manufacturer of specialty ingredients essential oils, aroma chemicals and value-added derivatives with applications across oral care, cosmetics, nutraceuticals, pharmaceuticals, wellness & pain management, and personal care. It is positioned as a prominent Indian maker in these categories.
IPO details
| Field | Details |
|---|---|
| Offer Type | 100% Book-Built Offer |
| Face Value | ₹2 per share |
| Proposed Listing | BSE & NSE |
| Designated Stock Exchange | NSE |
| BRLM | Motilal Oswal Investment Advisors |
| Registrar | KFin Technologies |
| Price Band / Lot Size | To be announced |
| Offer Schedule | Anchor: Aug 18, 2025 • Opens: Aug 19, 2025 • Closes: Aug 21, 2025 |
| Offer Structure | Fresh Issue up to ₹1,750.00 million; OFS up to 8,500,000 equity shares (incl. promoters and dōTERRA) |
| Objects of the Offer | (1) Repay/prepay certain borrowings of the Company & Krystal Ingredients; (2) General corporate purposes |
| Net Proceeds for Debt | ₹1,400.00 million |
Financial overview
| Metric | FY23 | FY24 | FY25 |
|---|---|---|---|
| Revenue from operations (₹m) | 4,247.93 | 4,524.52 | 5,039.53 |
| Gross profit (₹m) / margin | 1,074.10 / 25.29% | 1,112.96 / 24.60% | 1,280.08 / 25.40% |
| EBITDA (₹m) / margin | 661.86 / 15.58% | 783.54 / 17.32% | 884.52 / 17.55% |
| PAT (₹m) / margin | 446.72 / 10.51% | 501.04 / 11.03% | 533.84 / 10.56% |
| ROE / ROCE | 24.88% / 22.85% | 21.73% / 21.10% | 18.80% / 16.02% |
| Net debt / equity (x) | 0.44 | 0.36 | 0.78 |
| Working capital cycle (days) | 172.71 | 162.51 | 205.61 |
Mix (FY25)
- By product: Mint & derivatives 69.12%; Clove & derivatives 18.90%; Phenol 2.80%; Other synthetic & naturals 7.39%.
- By market: Domestic 47.55%; Exports 50.66%; Other operating revenue 1.79%.
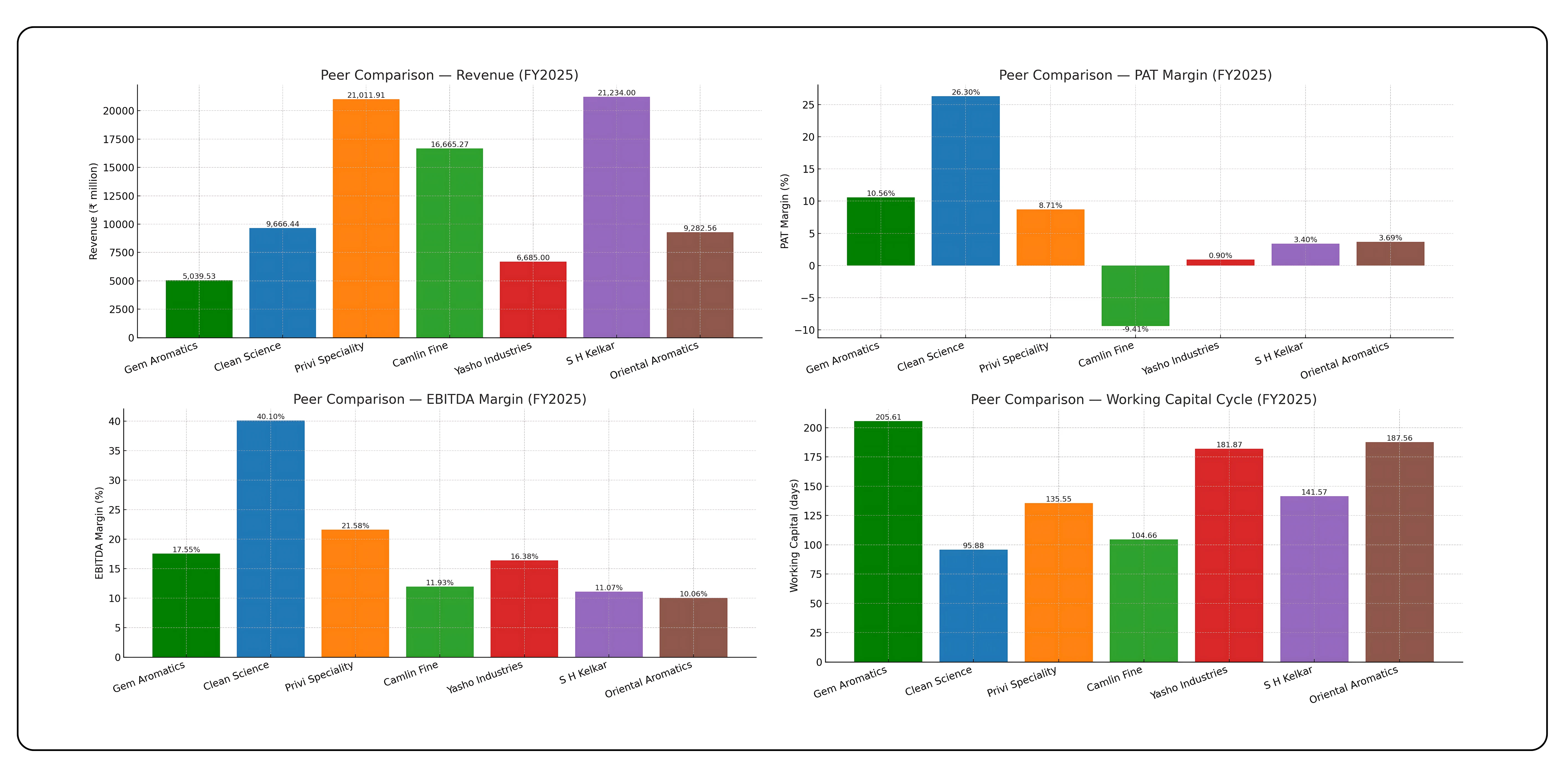
Peer comparison
| Company | Revenue (₹ m) | EBITDA margin | PAT margin | ROE | Net debt / equity | WC cycle (days) |
|---|---|---|---|---|---|---|
| Gem Aromatics | 5,039.53 | 17.55% | 10.56% | 18.80% | 0.78x | 205.61 |
| Clean Science & Technology | 9,666.44 | 40.10% | 26.30% | 18.67% | (0.01)x | 95.88 |
| Privi Speciality Chemicals | 21,011.91 | 21.58% | 8.71% | 16.74% | 0.97x | 135.55 |
| Camlin Fine Sciences | 16,665.27 | 11.93% | (9.41)% | (17.54)% | 0.55x | 104.66 |
| Yasho Industries | 6,685.00 | 16.38% | 0.90% | 1.46% | 1.31x | 181.87 |
| S H Kelkar & Company | 21,234.00 | 11.07% | 3.40% | 5.74% | 0.52x | 141.57 |
| Oriental Aromatics | 9,282.56 | 10.06% | 3.69% | 5.18% | 0.51x | 187.56 |
Anything special
Market position (F&S): In India, Gem has a dominant presence in essential-oil products derived from mint, clove and eucalyptus; FY2025 shares were ~12% in DMO and ~65% in Eugenol by volume, and >58% in eucalyptus oil.
Manufacturing footprint: Three plants—Budaun, Uttar Pradesh (3,800 MTPA), Silvassa, DNH&DD (1,500 MTPA), and Dahej, Gujarat (46 MTPA via subsidiary Krystal)—with an in-house R&D facility in Maharashtra. The Budaun site sits in India’s mint belt; Silvassa is near JNPT port, aiding exports.
R&D capability: 13 scientists with advanced organic synthesis know-how (e.g., Grignard, Friedel-Crafts, cross-coupling, photochemical), plus high-pressure/continuous processes and automation.
Customers & reach: Long-standing relationships with global and Indian names (e.g., Colgate-Palmolive India, Dabur, Patanjali, SH Kelkar, Symrise, dōTERRA, Ventos, Anhui Hautian Spices). In FY2025, Gem supplied 225 domestic customers and 44 customers across 18 countries.
Routes to market & mix: Domestic B2B direct; exports via direct sales, US subsidiary (Gem Aromatics LLC), and third-party agencies. FY2025 revenue split: exports 50.66%, domestic 47.55% (other operating revenue 1.79%). The USA was the top destination.
Strengths
- Diversified product portfolio across 70 SKUs with strong mint/clove franchises; continuing pipeline (e.g., citral) and Dahej expansion to scale new chemistries.
- Sticky global/domestic customer base (225 India; 44 overseas in 18 countries) and multi-channel export routes (incl. US subsidiary).
- Manufacturing spread across UP, DNH&DD and Gujarat; in-house R&D (13 scientists) and advanced process know-how.
- Improving scale with resilient margins (FY25 gross margin 25.4%; EBITDA margin 17.55%).
- Cooling agents TAM is growing; India is largely import-dependent today—Gem’s planned ~500 MTPA could be structurally important domestically.
- US go-to-market: Gem Aromatics LLC is a wholly-owned subsidiary acting as a limited-risk distributor for last-mile delivery in the US, with FY25 revenue ₹921.09m and no borrowings.
- Historical footprint: a UAE subsidiary existed up to June 13, 2024 (since exited).
Risks
- Customer concentration: top 10 customers formed 56.06% of FY25 revenue; dōTERRA is a key account and its supply agreement term ends Dec 31, 2028.
- Supplier concentration: top 10 suppliers were 52.89% of purchases in FY25.
- FX exposure: ~51% export mix; FX fluctuations and hedging outcomes can impact results.
- Raw material volatility/seasonality (natural resource-linked inputs like mint/clove/eucalyptus).
- Subsidiary (Krystal) is leveraged and loss-making with negative net worth; Company/Promoter guarantees exist against Krystal’s borrowings; a portion of IPO proceeds will repay Krystal loans.
- Limited IP moat: only one registered trademark; potential IP-related vulnerabilities noted.
- Industry data reliance: several claims sourced from a paid Frost & Sullivan report commissioned for this Offer.
Conclusion
Gem Aromatics is a focused specialty-ingredients player with credible leadership across mint/clove/eucalyptus value chains (Eugenol 65%, DMO 12%, eucalyptus oil > 58% in India per F&S), a diversified 70-SKU portfolio, and meaningful export reach (51% of FY25 revenue, with the USA as the top market). These strengths show up in steady FY25 metrics EBITDA margin 17.55% and RoE 18.80% suggesting an efficient operating core for its scale.
The IPO’s primary purpose prepayment/repayment of borrowings (including at subsidiary Krystal) and general corporate purposes, with ₹1,400m earmarked for deleveraging directly targets the balance-sheet, which carried consolidated borrowings of ₹2,598m as of Jun 30, 2025. Execution on this deleveraging along with working-capital discipline (FY25 cycle 206 days)—will be key near-term yardsticks.
Disclaimer: The information provided in our blogs is for informational purposes only and should not be construed as financial, investment, or trading advice. Trading and investing in the securities market carries risk. Always conduct your own research and consult with a qualified financial advisor before making any investment decisions. Past performance is not indicative of future results. Copyrighted and original content for your trading and investing needs.
© 2025 — Tradejini. All Rights Reserved.
